LEMON Manuals: Even more car manuals for everyone: 1960-2025
Home >> BMW >> 2017 >> 530i >> Repair and Diagnosis (Single Page) >> General Information >> Engine Performance >> State Emission Standards - Gas >> CALIFORNIA >> California Emission Standards ASM Tests

California Emission Standards ASM Tests

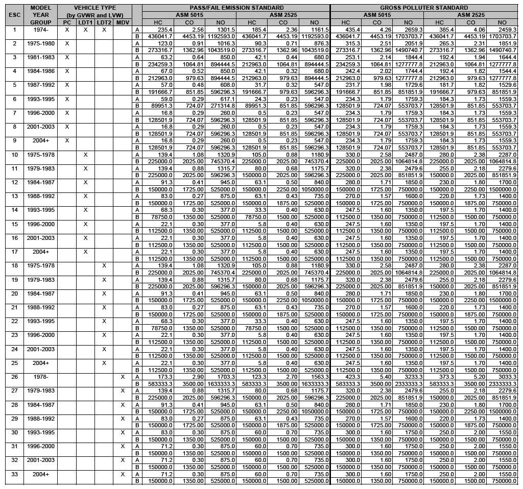
Specific vehicle cutpoints are available on the California BAR web site at www.bar.ca.gov under the Industry tab, then Cutpoints Application.

Fig 1: California Emission Standards - Enhanced & Partially Enhanced Program Areas - Light & Medium Duty Vehicles (ASM Test)
G00464895
Fig 2: California Emission Standards - Enhanced & Partially Enhanced Program Areas - Heavy Duty Vehicles (ASM Test)
G00464896